首页 > 基础资料 博客日记
字符串学习笔记
2026-04-16 17:00:02基础资料围观2次
字符串
KMP
前缀函数:\(\pi(i)\),以 \(i\) 结尾的最长 border 的长度。
- 求 \(\pi\) 数组
对于已经求出了前 \(i\) 项时,是可以做到找到以 \(i\) 结尾的所有 border。具体的,我们将 \(i\) 向 \(\pi(i)\) 连边得到的树成为 fail 树,其中 \(i\) 的 border 长度从大到小对应着 fail 树上 \(i\) 到根链上的值。
Lemma:\(\pi(i)\le\pi(i-1)+1\)
对于每步,首先找到第一个匹配的 border,然后 \(+1\)。势能分析一下,加n次,时间复杂度 \(O(n)\)。
- 模式串匹配
先对模式串求前缀函数,匹配类似。
KMP自动机
又称前缀自动机,旨在求出 \(go_{i,c}\) ,表示在前 \(i\) 个字符后面加一个 \(c\) ,最长 border 的长度。
若 \(s(i+1)=c\) ,那么 \(go_{i,c}=i+1\),否则\(go_{i,c}=go_{\pi(i),c}\)。
Z函数
Z函数又被称之为扩展KMP:\(z(i)\) 表示 \(s\) 与 \(s[i,n]\) 的 \(lcp\)。
- 流程
考虑从小到大求Z函数,对于第 \(i\) 位,前 \(i-1\) 位的Z函数已经求出来了。位于区间 \([l,r]\) 其中 \(r=l+z[l]-1\) 使得 \(r\) 最大,有 \(l\le i-1\)。
若 \(r\le i-1\) ,则将 \(l\) 变为 \(i\) ,再往后推 \(r\)。
否则有 \(s[i,r]=s[i-l+1,r-l+1]\) ,此时取 \(d=z(i-l+1)\),若 \(i+d-1<r\) ,那么 \(z(i)\) 直接取 \(d\) 就是对的了。否则可以直接推 \(r\) 。
注意到 \(r\) 只加不减,时间复杂度 \(O(n)\)。
z[1]=m;
for(int i=2,l=1,r=1;i<=m;i++){
if(r==i-1){
l=r=i;
while(b[r-l+2]==b[r+1])r++;
z[i]=r-l+1;
continue;
}int d=z[i-l+1];
if(i+d-1<r)z[i]=i+d-1;
else{
l=i;
while(b[r-l+2]==b[r+1])r++;
z[i]=r-l+1;
}
}
AC 自动机
多模式串的前缀自动机。
大致过程分为建立 \(trie\) 树,求 \(fail\) 树两个过程。求完 \(fail\) 之后 \(go\) 数组就能直接按序求了,与KMP自动机是一样的。
- \(fail\) 的定义
与KMP不同,这里的 \(fail\) 定义为对于一个字符串 \(S\) ,它最长的后缀使得出现在自动机中的长度。求解它的目的在于, \(fa[x]\) 是 \(x\) 失配后退回到的长度最大的一个状态,同理 \(x\) 退回到的第二个状态是 \(fa[fa[x]]\) 。可以发现将 \(x\) 向 \(fa[x]\) 连边可以得到一棵树,这棵树称之为 \(fail\) 树,且 \(x\) 失配后的所有退回状态都在从 \(x\) 到根的链上,且深度越深长度越大。
流程
\(trie\) 树的建立不说了。
\(fail\) 的连边满足长度大小关系,所以按照长度考虑所有字符串,也就是按 \(dfs\) 序遍历 \(trie\) 树,发现 \(fa\) 可以由上层的 \(go\) 转移过来,所以可以轻松做到 \(O(\sum|S|\times 字符集大小)\)。
代码
struct AC_automaton{
int go[M][C],ba[M],fa[M],np,id[M],q[M],he,ta,cnt,dfn[M],sz[M];
void ins(char ch){
int c=ch-'a';
if(go[now][c])now=go[now][c];
else go[now][c]=++np,ba[np]=now,g[now].emplace_back(np),now=np;
}
void build(){he=1;ta=0;
for(int i=0;i<C;i++)if(go[0][i])q[++ta]=go[0][i];
while(he<=ta){
int u=q[he++];e[fa[u]].emplace_back(u);
for(int i=0;i<C;i++){
if(go[u][i])fa[go[u][i]]=go[fa[u]][i],q[++ta]=go[u][i];
else go[u][i]=go[fa[u]][i];
}
}
}
}
SA
\(sa(i)\):字典序排名为 i 的后缀的左端点。
\(rk(i)\):后缀 \(s[i, |s|]\) 的排名。\(sa(rk(i)) = rk(sa(i)) = i\)。
\(h(i)\):排名为 i 的后缀和排名为 i-1 的后缀的 \(lcp\)。
流程
- 后缀排序
对长度 \(w\) 倍增,每次完成从 \(w\) 的状态转移到 \(2w\)。
本质上是双关键字排序,先按前 \(w\) 排,在按后 \(w\) 排。
代码实现上,先确定前 \(w\) 相同所形成的若干段,对所有下标按后 \(w\) 排序,然后倒序插入预留的段中。
此时能得到新的 \(sa\),对 \(sa\) 扫一遍,\(2w\) 相同的 \(rk\) 不变,否则 \(+1\)。
由于字符串后缀都不相同,所以当 \(rk\) 到 \(n\) 时退出即可。时间复杂度 \(O(nlogn)\) 。
- 构建height
构建height有什么用?
Lemma:对于排名i与排名j的后缀 \((i<j)\),它们的 \(lcp\) 等于 \(min_{k=i}^{j-1}h_k\)。
proof:对于其中任意相邻两项 \(k,k+1\) ,对于超出 \(h(k)\) 的部分,\(k+1\) 的字典序一定比 \(k\) 的大,那么对于大于 \(k+1\) 的一个 \(p\) ,若 \(p\) 的前 \(h(k)\) 部分相同,一定有后面部分字典序比 \(k\) 大,所以 \(i\) 与 \(j\) 的 \(lcp\) ,一定是由其中相邻最小的 \(lcp\) 决定的。
考虑构建height。
Lemma:\(h(rk(i))\ge h(rk(i-1))-1\)
这是好理解的。由此可以按下标从小到大处理,每次 \(-1\) ,然后往后推。势能分析一下,时间复杂度是 \(O(n)\) 的。
代码
void SA(){
m=128;
for(int i=1;i<=n;i++)cnt[rk[i]=s[i]]++;
for(int i=1;i<=m;i++)cnt[i]+=cnt[i-1];
for(int i=1;i<=n;i++)sa[cnt[rk[i]]--]=i;
for(int w=1;;w<<=1,m=p){
memset(cnt+1,0,m<<2);
for(int i=n-w+1;i<=n;i++)id[++cur]=i;
for(int i=1;i<=n;i++){cnt[rk[i]]++;if(sa[i]>w)id[++cur]=sa[i]-w;}
for(int i=1;i<=m;i++)cnt[i]+=cnt[i-1];
for(int i=n;i;i--)sa[cnt[rk[id[i]]]--]=id[i];
swap(old,rk);p=0;
for(int i=1;i<=n;i++){
if(old[sa[i]]==old[sa[i-1]]&&old[sa[i]+w]==old[sa[i-1]+w])rk[sa[i]]=p;
else rk[sa[i]]=++p;
}if(n==p)break;
}
for(int i=1,k=0;i<=n;i++){
if(rk[i]==1)continue;
if(k)k--;
while(s[i+k]==s[sa[rk[i]-1]+k])k++;
h[rk[i]]=k;
}
}
SAM
后缀自动机。能够接受模式串的所有子串最简状态自动机,也是接受所有后缀的最小DFA(确定性有限自动机或确定性有限状态自动机)。
后缀树
我们知道多模式串的前缀树就是 \(trie\) ,且由于前缀共用的特点,节点的个数是 \(O(\sum|S|)\) 的。如果用类似的方式建后缀树,把串的每个后缀都插入 \(trie\) 中,得到的树形结构就满足存在所有子串的性质,但是这样的节点数是 \(O(|S|^2)\) 的。
考虑如何缩减状态。将所有后缀的终节点或是儿子数大于1的节点保留,其余的边浓缩,如此得到的树的节点是 \(2n-1\) 的。实际上,这样操作得到的树就是以所有后缀终节点生成的虚树。
可以发现,模式串的子串不一定都在节点上,有可能在边上,但一种子串一定只会有一种映射,根据这个特点,建好后缀树之后,就能知道本质不同子串个数。
从后缀数组的角度理解后缀树。对于后缀节点按后缀树上的dfs序排序得到的就是 \(sa\) 数组,这是好理解的。按 \(h\) 生成的笛卡尔树就是后缀树(注意删掉空字符的边),分治证明也是容易的。通过求SA的方式已经可以建后缀树,但与SAM相比,它不支持在末尾动态的插入字符。
求SAM流程
主体思路是增量构造,也就是支持在末尾加点的同时,对后缀DFA的动态维护。
根据前面的经验,要维护DFA就需要维护 \(fail\) 数组,需要动态的维护后缀树的结构,大概需要实现加点/分裂/合并等操作。
引入一个概念:\(endpos\) 集合,称 \(endpos(T)\) 表示子串 \(T\) 在模式串中所有终位置构成的下标集合。我们称 \(endpos\) 集合相同的点处于同一个等价类中。
Lemma1:同一个等价类的字符串,一定成后缀关系。
Lemma2:\(endpos\) 集合只存在包含与不交关系,不存在交叉关系,形成树形结构。
Lemma3:模式串所有子串的本质不同等价类个数是 \(O(n)\) 的。
proof:考虑反串的后缀树,一条排开起点包含终点的一条边,其中所有包括浓缩的节点对应的串是一个等价类,这是容易发现的,所以等价类的个数就与后缀树节点个数同样是 \(O(n)\) 的。看到Lemma3的证明你也许会思考既然是反串的后缀树,为什么不能改成原串的后缀树,在把 \(endpos\) 变成 \(startpos\) 呢?其实是由于每次的加字符是在字符串的末尾执行的,所以对于 \(endpos\) 的改变是容易维护的,但 \(startpos\) 就不一定了,这也导致后面将说的SAM建出来的fail树是反串的后缀树。
再做一些定义,比如对于某个左端点属于 \([l,r]\) 右端点可以为 \(p\) 的等价类 \(x\)( \(p\) 为等价类 \(x\) 的 \(endpos\) 集合中的一点),令 \(len[x]=p-l+1\) 。
\(fa[x]\) 表示的是 \(p\) 相同的条件下的上一个等价类,有\(len[fa[x]]=p-r\)。
\(go[x][c]\) 表示在等价类 \(x\) 的后面插入字符 \(c\) 之后得到的等价类。
动态的维护上述值的过程就是SAM算法的核心。
考虑线已插入前 \(i-1\) 个字符,当前插入第 \(i\) 个字符,考虑以 \(i\) 结尾的所有后缀。记以 \(i-1\) 结尾的最后一个等价类为 \(lst\),当前新插入的连通块为 \(np\) 且左端点属于 \([1,i]\)。
现在考虑所有 \(endpos\) 包含 \(i-1\) 的等价类,也就是节点 \(lst\) 在 \(fail\) 树上到根的点。
- 对于这些等价类,若它们加上字符 \(S_i\) 都转移到空状态,则将其都更新到 \(p\)。
在不满足1的情况下,一定是节点 \(lst\) 先是在 \(fail\) 树上跳了若干个节点,后找到第一个等价类 \(p\) 使得 \(go[p][c]=q\) 且 \(q\neq 0\),\(p\) 再往上一段同样满足指向 \(q\) ,然后在指向其它非零节点。我们称 \(go[][c]=0\) 的这段为 \(A\) ,\(go[][c]=q\) 的这段为 \(B\) ,\(B\) 之上到根称之为 \(C\) 。\(A\) 这一段更新后一定是 \(go[][c]=np\) 的,接着要分情况讨论。
-
\(len[p]+1=len[q]\)。说明 \(q\) 等价类一定是 \(np\) 等价类的后缀,可以直接有 \(fa[np]=q\),
-
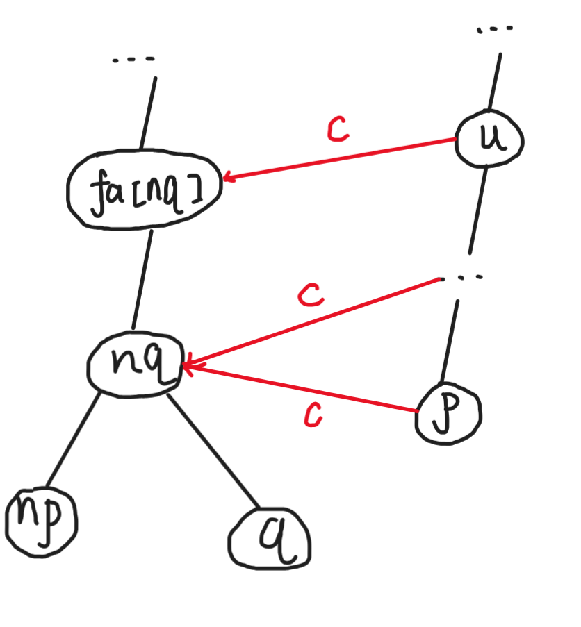
\(len[p]+1<len[q]\)。首先 \(len[p]+1>len[q]\) 肯定是不成立的,否则这样的连边都是错误的。此时 \(q\) 等价类长度 \(>len[p]+1\) 的部分一定与当前的 \(np\) 等价类的对应部分不同,所以是不满足 \(f[np]=q\)。我们需要新建一个等价类 \(nq\),令它对应 \(len[nq]=len[p]+1\) 的部分,\([len[p]+2,len[q]]\) 作为新的 \(q\) ,有 \(np,q\) 都是新等价类的儿子。其中新等价类的信息可以从 \(q\) 继承,\(B\) 段连向 \(q\) 的边要改成连向新等价类的。
第三种情况可以参考下图理解。

参考代码:
void ins(int x){
int np=++tot,p=lst;lst=np;len[np]=len[p]+1;sz[np]++;
for(;!go[p][x];p=fa[p])go[p][x]=np;
if(!p){fa[np]=1;return;}
int q=go[p][x];
if(len[q]==len[p]+1){fa[np]=q;return;}
int nq=++tot;fa[nq]=fa[q];fa[q]=fa[np]=nq;len[nq]=len[p]+1;
for(int i=0;i<26;i++)go[nq][i]=go[q][i];
for(;go[p][x]==q;p=fa[p])go[p][x]=nq;
}
其他说明
- 时间复杂度 \(O(|S|\times 字符集大小)\)
从流程考虑,将 \(A\) 段赋值显然是 \(O(n)\) ,所以不用考虑情况1,2。对于情况3,考虑将 \(B\) 段改成新加等价类的复杂度。
我们记 \(dep_x\) 表示节点 \(x\) 的深度,设第一个 \(go[][c]\) 指向 \(fa[nq]\) 的节点为 \(u\) ,\(u\) 其实就是 \(C\) 段中的第一个等价类。那么单次加的时间复杂度就是 \(p\) 到 \(u\) 中的节点个数,这个个数记为 \(k\) 。

注意到,一定有 \(dep[fa[nq]]\le dep[u]+1\)
所以时间复杂度就是 \(\sum k\) ,也就是 \(O(n)\) 的。
- 点数至多为2n-1
注意到每次最多加两个点,且第一二次不会复制点,这个上界是可以构造到的,\(abbb...bbb\) 达到上界。
- \(fail\) 树为反串的后缀树
首先从未到头的插入字符,考虑从 \(i\) 开始的一个后缀,会被分为若干个左端点在 \(i\) 上的等价类,所有等价类的最大长度集合等于与与其他后缀的 \(lcp\) 大小的集合,那么建出来的后缀树与后缀数组建出来的后缀树相同。
- map替代数组
当字符集很大的时候,时间复杂度可以达到 \(O(n^2)\),但是将 \(go\) 数组用 \(map\) 实现就可以降到 \(O(nlogn)\),空间 \(O(n)\)。
本文来自互联网用户投稿,该文观点仅代表作者本人,不代表本站立场。本站仅提供信息存储空间服务,不拥有所有权,不承担相关法律责任。如若内容造成侵权/违法违规/事实不符,请联系邮箱:jacktools123@163.com进行投诉反馈,一经查实,立即删除!
标签:
相关文章
最新发布
- 如何实现 Claude Code 和 Codex 等 Agent CLI 的自动重试
- poj1845 sumdiv 题解
- WebSocket 连接池生产级实现:实时行情高可用与负载均衡
- MicroPython对接大模型:uopenai + 火山方舟实现文字聊天和图片理解
- 关于代码注释的思考
- LED灯珠的测试之一---我是如何用万用表表笔测试的
- 从词向量到大模型:NLP 技术演进浅记
- IPCSUN捷宸电子GC422工业级CAN转4G网关深度测评:4路CAN+双串口+以太网,破解多行业无线联网难题
- 零成本打造专业域名邮箱:Cloudflare + Gmail 终极配置保姆级全攻略
- LangChain使用deep agent并且加载SKILL

